Welcome to the R Gallery Book, a complete guide to the R Graph Gallery website. This book is taken directly from R Gallery with careful detail in reproducing plots and completing ideas. This is a collection of plots, graphs, diagrams, etc., using R programming language and was combined into one single reading collection of updated R gallery plots and graphs.
Check out the book here
While this book was created to encapsulate the entire R Graph Gallery website into one readable source, another purpose is serving as introductory level into data science visualization using R programming language.
An animated chart displays several chart states one after the other.
It must not be confounded with an interactive chart that allows interaction like zooming or hovering.
This section describes 2 methods to build animations with R.
The first method builds many png images and concatenate them in a gif using image magick. The second relies on the gganimate package
that automatically builds the animation for you.
Here is a great interactive course that helps getting started with animations.
The gganimate library is a ggplot2 extension that allows to easily create animation from your data. Basically it allows to provide a frame (the step in the animation) as another aesthetic. Note that this course is dedicated to it.
The gganimate package allows to build animated chart using the ggplot2 syntax directly from R. This section shows how to apply it on a bubble chart, to show an evolution in time.
Before trying to build an animated plot with gganimate, make sure you understood how to build a basic bubble chart with R and ggplot2.
The idea is to add an additional aesthetics called transition_..() that provides a frame variable. For each value of the variable, a step on the chart will be drawn. Here, transition_time() is used since the frame variable is numeric.
Note that the gganimate automatically performs a transition between state. Several options are available, set using the ease_aes() function.
# Get data:
library(gapminder)
# Charge libraries:
library(ggplot2)
library(gganimate)
# Make a ggplot, but add frame=year: one image per year
ggplot(gapminder, aes(gdpPercap, lifeExp, size = pop, color = continent)) +
geom_point() +
scale_x_log10() +
theme_bw() +
# gganimate specific bits:
labs(title = 'Year: {frame_time}', x = 'GDP per capita', y = 'life expectancy') +
transition_time(year) +
ease_aes('linear')
# Save at gif:
anim_save("271-ggplot2-animated-gif-chart-with-gganimate1.gif")Since gganimate is a ggplot2 extension, any ggplot2 option can be used to customize the chart. Here, an example using facet_wrap() to use small multiple on the previous chart, spliting the chart window per continent.
Important note: this example comes from the gganimate homepage.
# Get data:
library(gapminder)
# Charge libraries:
library(ggplot2)
library(gganimate)
# Make a ggplot, but add frame=year: one image per year
ggplot(gapminder, aes(gdpPercap, lifeExp, size = pop, colour = country)) +
geom_point(alpha = 0.7, show.legend = FALSE) +
scale_colour_manual(values = country_colors) +
scale_size(range = c(2, 12)) +
scale_x_log10() +
facet_wrap(~continent) +
# Here comes the gganimate specific bits
labs(title = 'Year: {frame_time}', x = 'GDP per capita', y = 'life expectancy') +
transition_time(year) +
ease_aes('linear')
# Save at gif:
anim_save("271-ggplot2-animated-gif-chart-with-gganimate2.gif")Before trying to build an animated plot with gganimate, make sure you understood how to build a basic bar chart with R and ggplot2.
The idea is to add an additional aesthetics called transition_..() that provides a frame variable. For each value of the variable, a step on the chart will be drawn. Here, transition_states() is used since the frame variable is categorical.
Note that the gganimate automatically performs a transition between state. Several options are available, set using the ease_aes() function.
# libraries:
library(ggplot2)
library(gganimate)
# Make 2 basic states and concatenate them:
a <- data.frame(group=c("A","B","C"), values=c(3,2,4), frame=rep('a',3))
b <- data.frame(group=c("A","B","C"), values=c(5,3,7), frame=rep('b',3))
data <- rbind(a,b)
# Basic barplot:
ggplot(a, aes(x=group, y=values, fill=group)) +
geom_bar(stat='identity')
# Make a ggplot, but add frame=year: one image per year
ggplot(data, aes(x=group, y=values, fill=group)) +
geom_bar(stat='identity') +
theme_bw() +
# gganimate specific bits:
transition_states(
frame,
transition_length = 2,
state_length = 1
) +
ease_aes('sine-in-out')
# Save at gif:
anim_save("288-animated-barplot-transition.gif")# libraries:
library(ggplot2)
library(gganimate)
library(babynames)
library(hrbrthemes)
# Keep only 3 names
don <- babynames %>%
filter(name %in% c("Ashley", "Patricia", "Helen")) %>%
filter(sex=="F")
# Plot
don %>%
ggplot( aes(x=year, y=n, group=name, color=name)) +
geom_line() +
geom_point() +
scale_color_viridis(discrete = TRUE) +
ggtitle("Popularity of American names in the previous 30 years") +
theme_ipsum() +
ylab("Number of babies born") +
transition_reveal(year)
# Save at gif:
anim_save("287-smooth-animation-with-tweenr.gif")Image Magick is a software that allows to work with images in command lines. You can create and output a set of images doing a loop in R. Then, give all these images to Image magick and it will convert them into a .gif format.
This section describes how to build a basic count down .gif animation. It uses R to make 10 images, and Image Magick to concatenated them in a .gif.
This is probably the most basic animated plot (.gif format) you can do with R and Image Magick.
- Start by building 10 images with
R. - Use Image magick to concatenate them in a
gif.
Of course, Image Magick must be installed on your computer. See here to install it.
Note: : This example has been found on Mark Heckmann's R you ready website.
# Build 10 images -> save them at .png format
png(file="example%02d.png", width=480, height=480)
par(bg="grey")
for (i in c(10:1, "G0!")){
plot.new()
text(.5, .5, i, cex = 6 )
}
dev.off()
# Use image magick
system("convert -delay 80 *.png animated_count_down.gif")
# Remove png files
file.remove(list.files(pattern=".png"))This section shows how to build a 3d scatterplot and make it spin thanks to the rgl package. Reproducible code is provided.
The rgl package is the best option to build 3d charts in R. Please see this post for an introduction to 3d scatterplots using it.
It also provides the plot3d() and play3d() functions that allow to animate the 3d chart, and eventually to export the result at a .gif format. Here is an application to the famous iris dataset, with a nice animated 3d scatterplot chart.
library( rgl )
library(magick)
# Let's use the iris dataset
# iris
# This is ugly
colors <- c("royalblue1", "darkcyan", "oldlace")
iris$color <- colors[ as.numeric( as.factor(iris$Species) ) ]
# Static chart
plot3d( iris[,1], iris[,2], iris[,3], col = iris$color, type = "s", radius = .2 )
# We can indicate the axis and the rotation velocity
play3d( spin3d( axis = c(0, 0, 1), rpm = 20), duration = 10 )
# Save like gif
movie3d(
movie="3dAnimatedScatterplot",
spin3d( axis = c(0, 0, 1), rpm = 7),
duration = 10,
dir = "~/Desktop",
type = "gif",
# Library for 3D
library(lattice)
# Initiate data
b0 <- 10
b1 <- .5
b2 <- .3
int12 <- .2
g <- expand.grid(x = 1:20, y = 1:20)
g$z <- b0 + b1*g$x + b2*g$y + int12*g$x*g$y
# Make several .png images
png(file="example%03d.png", width=480, heigh=480)
for (i in seq(0, 350 ,10)){
print(wireframe(z ~ x * y, data = g,
screen = list(z = i, x = -60),
drape=TRUE))
}
dev.off()
# convert pdf to gif using ImageMagick
system("convert -delay 40 *.png animated_3D_plot.gif")
# cleaning up
file.remove(list.files(pattern=".png"))A graph by Matt Asher showing probability function in a data art fashion.
moxbuller = function(n) {
u = runif(n)
v = runif(n)
x = cos(2*pi*u)*sqrt(-2*log(v))
y = sin(2*pi*v)*sqrt(-2*log(u))
r = list(x=x, y=y)
return(r)
}
r = moxbuller(50000)
par(bg="black")
par(mar=c(0,0,0,0))
plot(r$x,r$y, pch=".", col="blue", cex=1.2)This post shows how to build a 3d scatterplot and make it spin thanks to the rgl package. Reproducible code is provided.
The rgl package is the best option to build 3d charts in R. Please see this post for an introduction to 3d scatterplots using it.
It also provides the plot3d() and play3d() functions that allow to animate the 3d chart, and eventually to export the result at a .gif format. Here is an application to the famous iris dataset, with a nice animated 3d scatterplot chart.
library( rgl )
library(magick)
# Let's use the iris dataset
# iris
# This is ugly
colors <- c("royalblue1", "darkcyan", "oldlace")
iris$color <- colors[ as.numeric( as.factor(iris$Species) ) ]
# Static chart
plot3d( iris[,1], iris[,2], iris[,3], col = iris$color, type = "s", radius = .2 )
# We can indicate the axis and the rotation velocity
play3d( spin3d( axis = c(0, 0, 1), rpm = 20), duration = 10 )
# Save like gif
movie3d(
movie="3dAnimatedScatterplot",
spin3d( axis = c(0, 0, 1), rpm = 7),
duration = 10,
dir = "~/Desktop",
type = "gif",
clean = TRUE
)Sometimes programming can be used to generate figures that are aestetically pleasing, but don't bring any insight. Here are a few pieces of data art built from R and ggplot2. Visit data-to-art.com for more.
R and ggplot2 are awesome tool to produce random shapes. Welcome in the field of generative coding or data art.
set.seed(345)
library(ggplot2)
library(RColorBrewer)
ngroup=30
names=paste("G_",seq(1,ngroup),sep="")
DAT=data.frame()
for(i in seq(1:30)){
data=data.frame( matrix(0, ngroup , 3))
data[,1]=i
data[,2]=sample(names, nrow(data))
data[,3]=prop.table(sample( c(rep(0,100),c(1:ngroup)) ,nrow(data)))
DAT=rbind(DAT,data)
}
colnames(DAT)=c("Year","Group","Value")
DAT=DAT[order( DAT$Year, DAT$Group) , ]
coul = brewer.pal(12, "Paired")
coul = colorRampPalette(coul)(ngroup)
coul=coul[sample(c(1:length(coul)) , size=length(coul) ) ]
ggplot(DAT, aes(x=Year, y=Value, fill=Group )) +
geom_area(alpha=1 )+
theme_bw() +
#scale_fill_brewer(colour="red", breaks=rev(levels(DAT$Group)))+
scale_fill_manual(values = coul)+
theme(
text = element_blank(),
line = element_blank(),
title = element_blank(),
legend.position="none",
panel.border = element_blank(),
panel.background = element_blank())set.seed(345)
library(ggplot2)
library(RColorBrewer)
ngroup=30
names=paste("G_",seq(1,ngroup),sep="")
DAT=data.frame()
for(i in seq(1:30)){
data=data.frame( matrix(0, ngroup , 3))
data[,1]=i
data[,2]=sample(names, nrow(data))
data[,3]=prop.table(sample( c(rep(0,100),c(1:ngroup)) ,nrow(data)))
DAT=rbind(DAT,data)
}
colnames(DAT)=c("Year","Group","Value")
DAT=DAT[order( DAT$Year, DAT$Group) , ]
coul = brewer.pal(12, "Paired")
coul = colorRampPalette(coul)(ngroup)
coul=coul[sample(c(1:length(coul)) , size=length(coul) ) ]
ggplot(DAT, aes(x=Year, y=Value, fill=Group )) +
geom_area(alpha=1 )+
theme_bw() +
#scale_fill_brewer(colour="red", breaks=rev(levels(DAT$Group)))+
scale_fill_manual(values = coul)+
theme(
text = element_blank(),
line = element_blank(),
title = element_blank(),
legend.position="none",
panel.border = element_blank(),
panel.background = element_blank())A piece of generative art built by Christophe Cariou with R.
par(mfrow=c(1,1),mar=c(0,0,0,0),oma=c(1,1,1,1))
plot(0,0,type="n", xlim=c(-2,32), ylim=c(3,27),
xaxs="i", yaxs="i", axes=FALSE, xlab=NA, ylab=NA,
asp=1)
for (j in 0:35) {
for (i in 0:35) {
R <- 8
alpha <- j*10
X <- 15+R*cos(alpha/180*pi)
Y <- 15+R*sin(alpha/180*pi)
r <- 3
beta <- i*10
x <- 15+r*cos(beta/180*pi)
y <- 15+r*sin(beta/180*pi)
d1 <- sqrt((X-x)^2+(Y-y)^2)
xc <- x
yc <- y
n <- 180-atan((Y-y)/(X-x))/pi*180
alpha2 <- -(0:n)
theta <- alpha2/180*pi
b <- d1/(n/180*pi)
r <- b*theta
x1 <- xc+r*cos(theta)
y1 <- yc+r*sin(theta)
lines(x1,y1, col="black")
}
}A graph by Matt Asher showing probability function in a data art fashion.
moxbuller = function(n) {
u = runif(n)
v = runif(n)
x = cos(2*pi*u)*sqrt(-2*log(v))
y = sin(2*pi*v)*sqrt(-2*log(u))
r = list(x=x, y=y)
return(r)
}
r = moxbuller(50000)
par(bg="black")
par(mar=c(0,0,0,0))
plot(r$x,r$y, pch=".", col="blue", cex=1.2)This post shows how to build a 3d scatterplot and make it spin thanks to the rgl package. Reproducible code is provided.
The rgl package is the best option to build 3d charts in R. Please see this post for an introduction to 3d scatterplots using it.
It also provides the plot3d() and play3d() functions that allow to animate the 3d chart, and eventually to export the result at a .gif format. Here is an application to the famous iris dataset, with a nice animated 3d scatterplot chart.
library( rgl )
library(magick)
# Let's use the iris dataset
# iris
# This is ugly
colors <- c("royalblue1", "darkcyan", "oldlace")
iris$color <- colors[ as.numeric( as.factor(iris$Species) ) ]
# Static chart
plot3d( iris[,1], iris[,2], iris[,3], col = iris$color, type = "s", radius = .2 )
# We can indicate the axis and the rotation velocity
play3d( spin3d( axis = c(0, 0, 1), rpm = 20), duration = 10 )
# Save like gif
movie3d(
movie="3dAnimatedScatterplot",
spin3d( axis = c(0, 0, 1), rpm = 7),
duration = 10,
dir = "~/Desktop",
type = "gif",
clean = TRUE
)The hrbrthemes package offer a set of pre-built themes for your charts. I am personnaly a big fan of the theme_ipsum: easy to use and makes your chart look more professional:
# Libraries
library(ggplot2)
library(dplyr)
library(hrbrthemes)
# Load dataset from github
data <- read.table("https://raw.githubusercontent.com/holtzy/data_to_viz/master/Example_dataset/1_OneNum.csv", header=TRUE)
# Make the histogram
data %>%
filter( price<300 ) %>%
ggplot( aes(x=price)) +
geom_density(fill="#69b3a2", color="#e9ecef", alpha=0.8) +
ggtitle("Night price distribution of Airbnb appartements") +
theme_ipsum()Here is an example with another dataset where it works much better. Groups have very distinct distribution, it is easy to spot them even if on the same chart. Note that it is much better to add group name next to their distribution instead of having a legend beside the chart.
# Load dataset from github
data <- read.table("https://raw.githubusercontent.com/zonination/perceptions/master/probly.csv", header=TRUE, sep=",")
data <- data %>%
gather(key="text", value="value") %>%
mutate(text = gsub("\\.", " ",text)) %>%
mutate(value = round(as.numeric(value),0))
# A dataframe for annotations
annot <- data.frame(
text = c("Almost No Chance", "About Even", "Probable", "Almost Certainly"),
x = c(5, 53, 65, 79),
y = c(0.15, 0.4, 0.06, 0.1)
)
# Plot
data %>%
filter(text %in% c("Almost No Chance", "About Even", "Probable", "Almost Certainly")) %>%
ggplot( aes(x=value, color=text, fill=text)) +
geom_density(alpha=0.6) +
scale_fill_viridis(discrete=TRUE) +
scale_color_viridis(discrete=TRUE) +
geom_text( data=annot, aes(x=x, y=y, label=text, color=text), hjust=0, size=4.5) +
theme_ipsum() +
theme(
legend.position="none"
) +
ylab("") +
xlab("Assigned Probability (%)")A histogram displays the distribution of a numeric variable. A common task is to compare this distribution through several groups. This document explains how to do so using R and ggplot2.
If the number of group or variable you have is relatively low, you can display all of them on the same axis, using a bit of transparency to make sure you do not hide any data.
Note: with 2 groups, you can also build a mirror histogram
# library
library(ggplot2)
library(dplyr)
library(hrbrthemes)
# Build dataset with different distributions
data <- data.frame(
type = c( rep("variable 1", 1000), rep("variable 2", 1000) ),
value = c( rnorm(1000), rnorm(1000, mean=4) )
)
# Represent it
p <- data %>%
ggplot( aes(x=value, fill=type)) +
geom_histogram( color="#e9ecef", alpha=0.6, position = 'identity') +
scale_fill_manual(values=c("#69b3a2", "#404080")) +
theme_ipsum() +
labs(fill="")
pThis example illustrates how to split the plotting window in base R thanks to the layout function. Contrary to the par(mfrow=...) solution, layout() allows greater control of panel parts.
Here a boxplot is added on top of the histogram, allowing to quickly observe summary statistics of the distribution.
# Create data
my_variable=c(rnorm(1000 , 0 , 2) , rnorm(1000 , 9 , 2))
# Layout to split the screen
layout(mat = matrix(c(1,2),2,1, byrow=TRUE), height = c(1,8))
# Draw the boxplot and the histogram
par(mar=c(0, 3.1, 1.1, 2.1))
boxplot(my_variable , horizontal=TRUE , ylim=c(-10,20), xaxt="n" , col=rgb(0.8,0.8,0,0.5) , frame=F)
par(mar=c(4, 3.1, 1.1, 2.1))
hist(my_variable , breaks=40 , col=rgb(0.2,0.8,0.5,0.5) , border=F , main="" , xlab="value of the variable", xlim=c(-10,20))The Forecats library is a library from the tidyverse especially made to handle factors in R. It provides a suite of useful tools that solve common problems with factors. The fact_reorder() function allows to reorder the factor. The fact_reorder() function allows to reorder the factor (data$name for example) following the value of another column (data$val here).
# load the library
library(forcats)
# Reorder following the value of another column:
data %>%
mutate(name = fct_reorder(name, val)) %>%
ggplot( aes(x=name, y=val)) +
geom_bar(stat="identity", fill="#f68060", alpha=.6, width=.4) +
coord_flip() +
xlab("") +
theme_bw()
ggplot2 is a R package dedicated to data visualization. It can greatly improve the quality and aesthetics of your graphics, and will make you much more efficient in creating them.
ggplot2 allows to build almost any type of chart. The R graph
gallery focuses on it so almost every section there starts with ggplot2 examples.
This page is dedicated to general ggplot2 tips that you can apply to any chart, like customizing a title, adding annotation, or using faceting. If you're new to ggplot2, a good starting point is probably this online course.
This document is dedicated to text annotation with ggplot2. It provides several examples with reproducible code showing how to use function like geom_label and geom_text.
This example demonstrates how to use geom_text() to add text as markers. It works pretty much the same as geom_point(), but add text instead of circles. A few arguments must be provided:
label: what text you want to display.nudge_xandnudge_y: shifts the text along X and Y axis.check_overlaptries to avoid text overlap. Note that a package calledggrepelextends this concept further.
# library
library(ggplot2)
# Keep 30 first rows in the mtcars natively available dataset
data=head(mtcars, 30)
# 1/ add text with geom_text, use nudge to nudge the text
ggplot(data, aes(x=wt, y=mpg)) +
geom_point() + # Show dots
geom_text(
label=rownames(data),
nudge_x = 0.25, nudge_y = 0.25,
check_overlap = T
)geom_label() works pretty much the same way as geom_text(). However, text is wrapped in a rectangle that you can customize (see next example).
# library
library(ggplot2)
# Keep 30 first rows in the mtcars natively available dataset
data=head(mtcars, 30)
# 1/ add text with geom_text, use nudge to nudge the text
ggplot(data, aes(x=wt, y=mpg)) +
geom_point() + # Show dots
geom_label(
label=rownames(data),
nudge_x = 0.25, nudge_y = 0.25,
check_overlap = T
)Of course, you don't have to label all dots on the chart. You can also add a piece of text on a specific position. Since we're here, note that you can custom the annotation of geom_label with label.padding, label.size, color and fill as described below:
# library
library(ggplot2)
# Keep 30 first rows in the mtcars natively available dataset
data=head(mtcars, 30)
# Add one annotation
ggplot(data, aes(x=wt, y=mpg)) +
geom_point() + # Show dots
geom_label(
label="Look at this!",
x=4.1,
y=20,
label.padding = unit(0.55, "lines"), # Rectangle size around label
label.size = 0.35,
color = "black",
fill="#69b3a2"
)Last but not least, you can also select a group of marker and annotate them only. Here, only car with mpg > 20 and wt > 3 are annotated thanks to a data filtering in the geom_label() call.
# library
library(ggplot2)
library(dplyr)
library(tibble)
# Keep 30 first rows in the mtcars natively available dataset
data=head(mtcars, 30)
# Change data rownames as a real column called 'carName'
data <- data %>%
rownames_to_column(var="carName")
# Plot
ggplot(data, aes(x=wt, y=mpg)) +
geom_point() +
geom_label(
data=data %>% filter(mpg>20 & wt>3), # Filter data first
aes(label=carName)
)Once your chart is done, annotating it is a crucial step to make it more insightful. This section will guide you through the best practices using R and ggplot2.
Text is the most common kind of annotation. It allows to give more information on the most important part of the chart.
Using ggplot2, 2 main functions are available for that kind of annotation:
geom_text: to add a simple piece of text.geom_label: to add a label: framed text.
Note that the annotate() function is a good alternative that can reduces the code length for simple cases.
# library
library(ggplot2)
# basic graph
p <- ggplot(mtcars, aes(x = wt, y = mpg)) +
geom_point()
# a data frame with all the annotation info
annotation <- data.frame(
x = c(2,4.5),
y = c(20,25),
label = c("label 1", "label 2")
)
# Add text
p + geom_text(data=annotation, aes( x=x, y=y, label=label),
color="orange",
size=7 , angle=45, fontface="bold" )
# Note: possible to shorten with annotate:
# p +
# annotate("text", x = c(2,4.5), y = c(20,25),
# label = c("label 1", "label 2") , color="orange",
# size=7 , angle=45, fontface="bold")# Right chart: using labels
p + geom_label(data=annotation, aes( x=x, y=y, label=label),
color="orange",
size=7 , angle=45, fontface="bold" )The annotate() function allows to add all kind of shape on a ggplot2 chart. The first argument will control what kind is used: rect or segment for rectangle, segment or arrow.
# Add rectangles
p + annotate("rect", xmin=c(2,4), xmax=c(3,5), ymin=c(20,10) , ymax=c(30,20), alpha=0.2, color="blue", fill="blue")# Add segments
p + annotate("segment", x = 1, xend = 3, y = 25, yend = 15, colour = "purple", size=3, alpha=0.6)# Add arrow
p + annotate("segment", x = 2, xend = 4, y = 15, yend = 25, colour = "pink", size=3, alpha=0.6, arrow=arrow())An abline is a segment that goes from one chart extremity to the other. ggplot2 offers the geom_hline() and geom_vline() functions that are dedicated to it.
p +
# horizontal
geom_hline(yintercept=25, color="orange", size=1) +
# vertical
geom_vline(xintercept=3, color="orange", size=1)Last kind of annotation, add a dot and a segment directly with pointrange().
# Add point and range
p + annotate("pointrange", x = 3.5, y = 20, ymin = 12, ymax = 28,colour = "orange", size = 1.5, alpha=0.4)Marginal plots are not natively supported by ggplot2, but their realisation is straightforward thanks to the ggExtra` library as illustrated in graph #277.
This section demonstrates how to build a scatterplot with rug with R and ggplot2. Adding rug gives insight about variable distribution and is especially helpful when markers overlap.
A scatterplot displays the relationship between 2 numeric variables. You can easily add rug on X and Y axis thanks to the geom_rug() function to illustrate the distribution of dots.
Note you can as well add marginal plots to show these distributions.
# library
library(ggplot2)
# Iris dataset
head(iris)
# plot
ggplot(data=iris, aes(x=Sepal.Length, Petal.Length)) +
geom_point() +
geom_rug(col="steelblue",alpha=0.1, size=1.5)This section explains how to add marginal distributions to the X and Y axis of a ggplot2 scatterplot. It can be done using histogram, boxplot or density plot using the ggExtra library.
Here are 3 examples of marginal distribution added on X and Y axis of a scatterplot. The ggExtra library makes it a breeze thanks to the ggMarginal() function. Three main types of distribution are available: histogram, density and boxplot.
# library
library(ggplot2)
library(ggExtra)
# The mtcars dataset is proposed in R
head(mtcars)
# classic plot :
p <- ggplot(mtcars, aes(x=wt, y=mpg, color=cyl, size=cyl)) +
geom_point() +
theme(legend.position="none")
# with marginal histogram
p1 <- ggMarginal(p, type="histogram")
# marginal density
p2 <- ggMarginal(p, type="density")
# marginal boxplot
p3 <- ggMarginal(p, type="boxplot")p1p2p3Three additional examples to show possible customization:
- Change marginal plot size with
size. - Custom marginal plot appearance with all usual parameters.
- Show only one marginal plot with
margins = 'x'ormargins = 'y'.
# library
library(ggplot2)
library(ggExtra)
# The mtcars dataset is proposed in R
head(mtcars)
# classic plot :
p <- ggplot(mtcars, aes(x=wt, y=mpg, color=cyl, size=cyl)) +
geom_point() +
theme(legend.position="none")
# Set relative size of marginal plots (main plot 10x bigger than marginals)
p1 <- ggMarginal(p, type="histogram", size=10)
# Custom marginal plots:
p2 <- ggMarginal(p, type="histogram", fill = "slateblue", xparams = list( bins=10))
# Show only marginal plot for x axis
p3 <- ggMarginal(p, margins = 'x', color="purple", size=4)p1p2p3The theme() function of ggplot2 allows to customize the chart appearance. It controls 3 main types of components:
- Axis: controls the title, label, line and ticks.
- Background: controls the background color and the major and minor grid lines.
- Legend: controls position, text, symbols and more.
This section describes all the available options to customize chart axis with R and ggplot2. It shows how to control the axis itself, its label, title, position and more.
Let's start with a very basic ggplot2 scatterplot. The axis usually looks very good with default option as you can see here.
Basically two main functions will allow to customize it:
theme()to change the axis appearance.scale_x_andscale_y_to change the axis type.
Let's see how to use them
# Load ggplot2
library(ggplot2)
# Very basic chart
basic <- ggplot( mtcars , aes(x=mpg, y=wt)) +
geom_point()
basicTwo basic options that are used in almost every charts are xlab() and xlim() to control the axis title and the axis limits respectively.
Note: it's possible to specify only the lower or upper bound of a limit. For instance, try xlim(0,NA)
basic+
xlab("mpg value") +
xlim(0,50)The theme() function allows to customize all parts of the ggplot2 chart. The axis.title. controls the axis title appearance. Since it is text, features are wrapped in a element_text() function. The code below shows how to change the most common features:
basic + theme(axis.title = element_text( angle = 90, color="red", size=15, face=3)) # face = title locationbasic + theme(axis.title.x = element_text( angle = 90, color="red", size=15, face=3))Using pretty much the same process, the axis.text() function allows to control text label features. Once more, using axis.text.x() would modify the x axis only.
basic +
theme(axis.text = element_text(
angle = 90,
color="blue",
size=15,
face=3)
)The axis.ticks() function controls the ticks appearance. axis.line() controles the axis line. Both of them are lines, so options are wrapped in a element_line() statement.
linetype controls the type of line in use, see the ggplot2 section for more.
# chart 1: ticks
basic + theme(
axis.ticks = element_line(size = 2, color="red") ,
axis.ticks.length = unit(.5, "cm")
)# chart 2: axis lines
basic + theme(axis.line = element_line(size = 3, colour = "green", linetype=2))# chart 3: combination
ggplot( mtcars , aes(x=mpg, y=wt)) + geom_point() +
theme(
axis.title = element_text( color="red", size=15, face=2),
axis.line = element_line(size = 3, colour = "green", linetype=2),
axis.text = element_text( angle = 90, color="blue", size=15, face=2)
)This section describes all the available options to customize chart background with R and ggplot2. It shows how to control the background color and the minor and major gridlines.
Let's start with a very basic ggplot2 scatterplot. By default, ggplot2 offers a grey background with white major and minor gridlines.
It is possible to change that thanks to the theme() function. Keep reading to learn how!
# Load ggplot2
library(ggplot2)
# Very basic chart
basic <- ggplot( mtcars , aes(x=mpg, y=wt)) +
geom_point()
basicTwo options of the theme() functions are available to control the map background color. plot_background controls the color of the whole chart. panel.background controls the part between the axis.
Both are rectangles, with features specified through an element_rect() function.
basic + theme(
plot.background = element_rect(fill = "green"),
panel.background = element_rect(fill = "red", colour="blue")
)Two main types of grid exist with ggplot2: major and minor. They are controlled thanks to the panel.grid.major and panel.grid.minor options.
Once more, you can add the options .y or .x at the end of the function name to control one orientation only.
Features are wrapped in an element_line() function. Specifying element_blanck() will simply removing the grid.
# Modify for both axis
basic + theme(
panel.grid.major = element_line(colour = "red", linetype = "dotted"),
panel.grid.minor = element_line(colour = "blue", size = 2)
)# Modify y axis only (remove)
basic + theme(
panel.grid.major.y = element_blank(),
panel.grid.minor.y = element_blank()
)This section describes all the available options to customize the chart legend with R and ggplot2. It shows how to control the title, text, location, symbols and more.
By default, ggplot2 will automatically build a legend on your chart as soon as a shape feature is mapped to a variable in aes() part of the ggplot() call. So if you use color, shape or alpha, a legend will be available.
Here is an example based on the mtcars dataset. This section is gonna show how to use the theme() function to apply all type of customization on this default legend.
Note: this post is strongly inspired by the doc you get typing ggplot2::theme, give it a go!
# Load ggplot2
library(ggplot2)
# Very basic chart
basic <- ggplot(mtcars, aes(wt, mpg, colour = factor(cyl), shape = factor(vs) )) +
geom_point()
basicThe labs() function allows to change the legend titles. You can specify one title per section of the legend, i.e. per aesthetics in use in the chart.
basic+
labs(
colour = "name1",
shape = "name2"
)It is possible to remove a specific part or the whole legend thanks to the theme() and the guides() function. See code below:
# Left -> get rid of one part of the legend
basic + guides(shape=FALSE)# Right -> only the x axis is modified
basic + theme(legend.position = "none")You can place the legend literally anywhere.
To put it around the chart, use the legend.position option and specify top, right, bottom, or left. To put it inside the plot area, specify a vector of length 2, both values going between 0 and 1 and giving the x and y coordinates.
Note: the command legend.justification sets the corner that the position refers to.
# Left -> legend around the plot
basic + theme(legend.position = "bottom")# Right -> inside the plot area
basic + theme(
legend.position = c(.95, .95),
legend.justification = c("right", "top"),
legend.box.just = "right",
legend.margin = margin(6, 6, 6, 6)
)Here are 4 examples showing how to customize the legend main features:
- Box with
legend.box.: it is a rectangle that frames the legend. Give features withelement_rect(). - Key with
legend.key: the key is the part showing the symbols. Note that symbols will automatically be the ones used on the chart. - Text with
legend.text: here you can control the color, the size of the right part of the legend. - Title with
legend.title.
# custom box around legend
basic + theme(
legend.box.background = element_rect(color="red", size=2),
legend.box.margin = margin(116, 6, 6, 6)
)# custom the key
basic + theme(legend.key = element_rect(fill = "white", colour = "black"))# custom the text
basic + theme(legend.text = element_text(size = 8, colour = "red"))# custom the title
basic + theme(legend.title = element_text(face = "bold"))This section describes how to reorder a variable in a ggplot2 chart. Several methods are suggested, always providing examples with reproducible code chunks.
Reordering groups in a ggplot2 chart can be a struggle. This is due to the fact that ggplot2 takes into account the order of the factor levels, not the order you observe in your data frame. You can sort your input data frame with sort() or arrange(), it will never have any impact on your ggplot2 output.
This post explains how to reorder the level of your factor through several examples. Examples are based on 2 dummy datasets:
# Library
library(ggplot2)
library(dplyr)
# Dataset 1: one value per group
data <- data.frame(
name=c("north","south","south-east","north-west","south-west","north-east","west","east"),
val=sample(seq(1,10), 8 )
)
# Dataset 2: several values per group (natively provided in R)
# mpgThe Forecats library is a library from the tidyverse especially made to handle factors in R. It provides a suite of useful tools that solve common problems with factors. The fact_reorder() function allows to reorder the factor (data$name for example) following the value of another column (data$val here).
# load the library
library(forcats)
# Reorder following the value of another column:
data %>%
mutate(name = fct_reorder(name, val)) %>%
ggplot( aes(x=name, y=val)) +
geom_bar(stat="identity", fill="#f68060", alpha=.6, width=.4) +
coord_flip() +
xlab("") +
theme_bw()
# Reverse side
data %>%
mutate(name = fct_reorder(name, desc(val))) %>%
ggplot( aes(x=name, y=val)) +
geom_bar(stat="identity", fill="#f68060", alpha=.6, width=.4) +
coord_flip() +
xlab("") +
theme_bw()If you have several values per level of your factor, you can specify which function to apply to determine the order. The default is to use the median, but you can use the number of data points per group to make the classification:
# Using median
mpg %>%
mutate(class = fct_reorder(class, hwy, .fun='median')) %>%
ggplot( aes(x=reorder(class, hwy), y=hwy, fill=class)) +
geom_boxplot() +
xlab("class") +
theme(legend.position="none") +
xlab("")
# Using number of observation per group
mpg %>%
mutate(class = fct_reorder(class, hwy, .fun='length' )) %>%
ggplot( aes(x=class, y=hwy, fill=class)) +
geom_boxplot() +
xlab("class") +
theme(legend.position="none") +
xlab("") +
xlab("")The last common operation is to provide a specific order to your levels, you can do so using the fct_relevel() function as follow:
# Reorder following a precise order
p <- data %>%
mutate(name = fct_relevel(name,
"north", "north-east", "east",
"south-east", "south", "south-west",
"west", "north-west")) %>%
ggplot( aes(x=name, y=val)) +
geom_bar(stat="identity") +
xlab("")
#pThe mutate() function of dplyr allows to create a new variable or modify an existing one. It is possible to use it to recreate a factor with a specific order. Here are 2 examples:
- The first use
arrange()to sort your data frame, and reorder the factor following this desired order. - The second specifies a custom order for the factor giving the levels one by one.
data %>%
arrange(val) %>% # First sort by val. This sort the dataframe but NOT the factor levels
mutate(name=factor(name, levels=name)) %>% # This trick update the factor levels
ggplot( aes(x=name, y=val)) +
geom_segment( aes(xend=name, yend=0)) +
geom_point( size=4, color="orange") +
coord_flip() +
theme_bw() +
xlab("")
data %>%
arrange(val) %>%
mutate(name = factor(name, levels=c("north", "north-east", "east", "south-east", "south", "south-west", "west", "north-west"))) %>%
ggplot( aes(x=name, y=val)) +
geom_segment( aes(xend=name, yend=0)) +
geom_point( size=4, color="orange") +
theme_bw() +
xlab("")In case your an unconditional user of the good old R, here is how to control the order using the reorder() function inside a with() call:
# reorder is close to order, but is made to change the order of the factor levels.
mpg$class = with(mpg, reorder(class, hwy, median))
p <- mpg %>%
ggplot( aes(x=class, y=hwy, fill=class)) +
geom_violin() +
xlab("class") +
theme(legend.position="none") +
xlab("")
#pThe ggtitle() function allows to add a title to the chart. The following post will guide you through its usage, showing how to control title main features: position, font, color, text and more.
This section describes all the available options to customize the chart title with R and ggplot2. It shows how to control its color, its position, and more.
It is possible to add a title to a ggplot2 chart using the ggtitle() function. It works as follow:
# library & data
library(ggplot2)
data <- data.frame(x=rnorm(100))
# Basic plot with title
ggplot( data=data, aes(x=x)) +
geom_histogram(fill="skyblue", alpha=0.5) +
ggtitle("A blue Histogram") +
theme_minimal()It is a common need to set the title on several lines. To add a break and skip to a second line, just add a \n in the text.
# title on several lines
ggplot( data=data, aes(x=x)) +
geom_histogram(fill="skyblue", alpha=0.5) +
ggtitle("A blue \nHistogram") +
theme_minimal() Here are 2 tricks to control text appearance and its position. Both features are controlled thanks to the plot.title argument of the theme() function. Appearance can be controlled with option such as family, size or color, when position is controlled with hjust and vjust.
# Custom title appearance
ggplot( data=data, aes(x=x)) +
geom_histogram(fill="skyblue", alpha=0.5) +
ggtitle("A blue Histogram") +
theme_minimal() +
theme(
plot.title=element_text(family='', face='bold', colour='purple', size=26)
)# Adjust the position of title
ggplot( data=data, aes(x=x)) +
geom_histogram(fill="skyblue", alpha=0.8) +
ggtitle("With title on the right") +
theme_minimal() +
theme(
plot.title=element_text( hjust=1, vjust=0.5, face='bold')
)If you want to highlight a specific set of words in the title, it is double thanks to the expression() function.
# Custom a few word of the title only:
my_title <- expression(paste("A ", italic(bold("blue")), " histogram"))
ggplot( data=data, aes(x=x)) +
geom_histogram(fill="skyblue", alpha=0.8) +
ggtitle(my_title) +
theme_minimal()Small multiples is a very powerful dataviz technique. It split the chart window in many small similar charts: each represents a specific group of a categorical variable. The following post describes the main use cases using facet_wrap() and facet_grid() and should get you started quickly.
This section describes all the available options to use small multiples with R and ggplot2. it shows how to efficiently split the chart window by row, column or both to show every group of the dataset separately.
Faceting is the process that split the chart window in several small parts (a grid), and display a similar chart in each section. Each section usually shows the same graph for a specific group of the dataset. The result is usually called small multiple.
It is a very powerful technique in data visualization, and a major advantage of using ggplot2 is that it offers functions allowing to build it in a single line of code. Here is an example showing the evolution of a few baby names in the US. (source)
# Libraries
library(tidyverse)
library(hrbrthemes)
library(babynames)
library(viridis)
# Load dataset from github
data <- read.table("https://raw.githubusercontent.com/holtzy/data_to_viz/master/Example_dataset/3_TwoNumOrdered.csv", header=T)
data$date <- as.Date(data$date)
# Load dataset from github
don <- babynames %>%
filter(name %in% c("Ashley", "Amanda", "Mary", "Deborah", "Dorothy", "Betty", "Helen", "Jennifer", "Shirley")) %>%
filter(sex=="F")# Plot
don %>%
ggplot( aes(x=year, y=n, group=name, fill=name)) +
geom_area() +
scale_fill_viridis(discrete = TRUE) +
theme(legend.position="none") +
ggtitle("Popularity of American names in the previous 30 years") +
theme_ipsum() +
theme(
legend.position="none",
panel.spacing = unit(0, "lines"),
strip.text.x = element_text(size = 8),
plot.title = element_text(size=13)
) +
facet_wrap(~name, scale="free_y")facet_wrap() is the most common function for faceting with ggplot2. It builds a new chart for each level of a categorical variable. You can add the charts horizontally (graph1) or vertically (graph2, using dir="v"). Note that if the number of group is big enough, ggplot2 will automatically display charts on several rows/columns.
The grey bar showing the related level can be placed on top or on the bottom thanks to the strip.position option (graph3).
Last but not least, you can choose whether every graph have the same scale or not with the scales option (graph4).
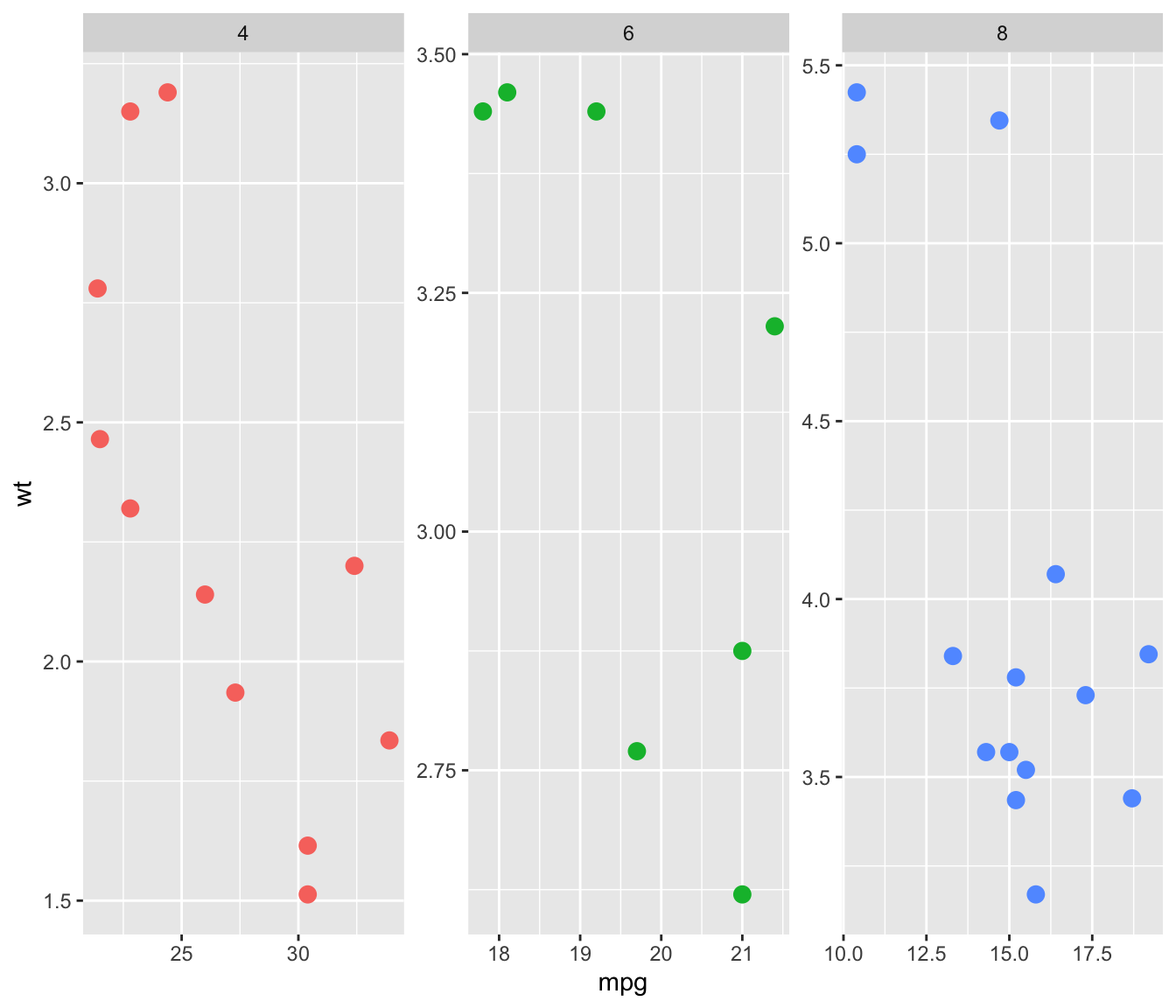
# library & datset
library(ggplot2)
head(mtcars)
# Split by columns (default)
ggplot( mtcars , aes(x=mpg, y=wt, color=as.factor(cyl) )) +
geom_point(size=3) +
facet_wrap(~cyl) +
theme(legend.position="none")# Split by row
ggplot( mtcars , aes(x=mpg, y=wt, color=as.factor(cyl) )) +
geom_point(size=3) +
facet_wrap(~cyl , dir="v") +
theme(legend.position="none")# Add label at the bottom
ggplot( mtcars , aes(x=mpg, y=wt, color=as.factor(cyl) )) +
geom_point(size=3) +
facet_wrap(~cyl , strip.position="bottom") +
theme(legend.position="none")# Use same scales for all
ggplot( mtcars , aes(x=mpg, y=wt, color=as.factor(cyl) )) +
geom_point(size=3) +
facet_wrap(~cyl , scales="free" ) +
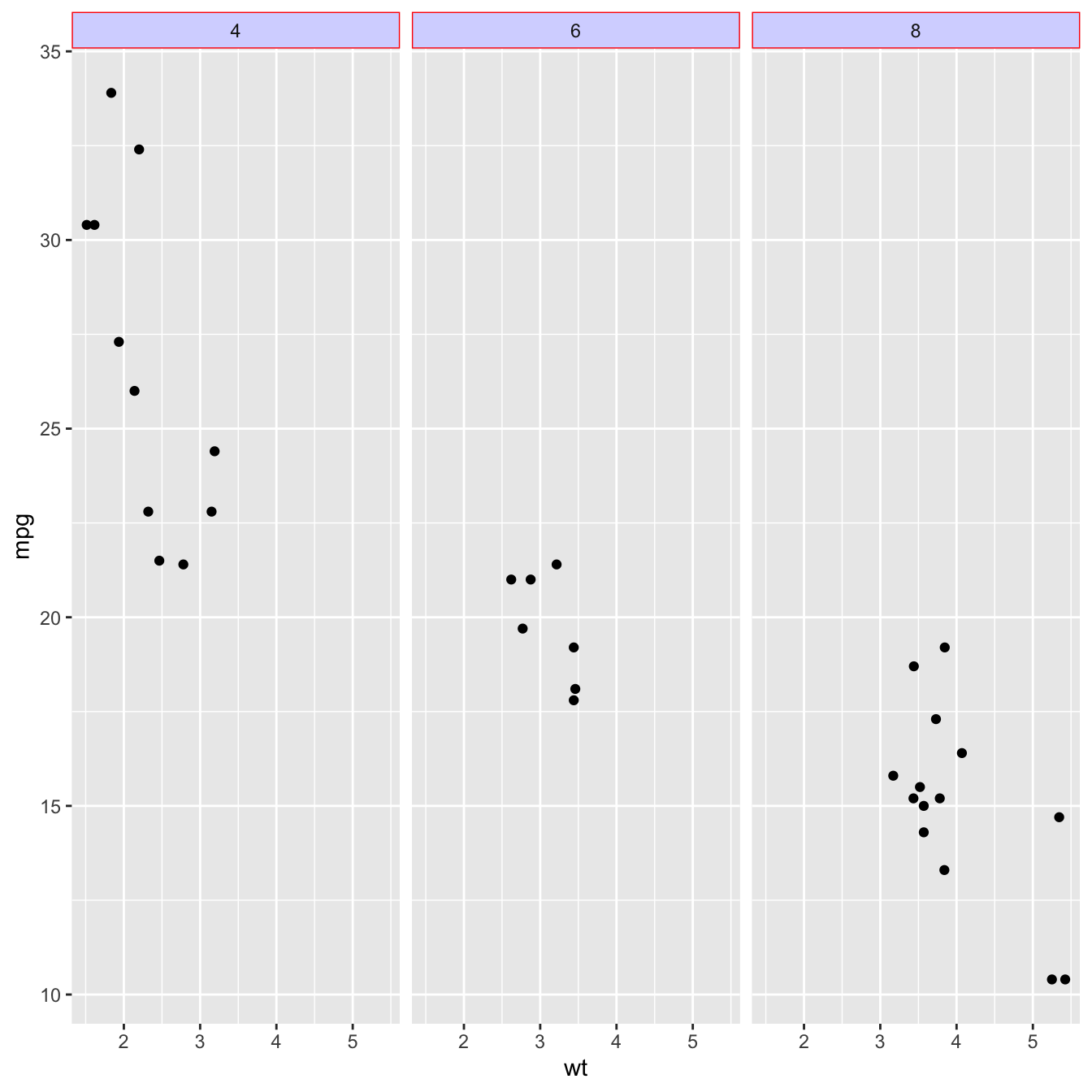
theme(legend.position="none")facet_grid() is the second function allowing to build small multiples with ggplot2. It allows to build one chart for each combinations of 2 categorical variables. One variable will be used for rows, the other for columns.
The two variables must be given around a ~, the first being displayed as row, the second as column. The facet-grid() function also accepts the scales argument described above.
# Faceted ggplot2 using facet_grid():
ggplot( mtcars , aes(x=mpg, y=wt )) +
geom_point() +
facet_grid( cyl ~ gear)ggplot2 makes it a breeze to build small multiples. This post shows how to customize the layout, notably using the strip options
This section aims to provide useful R code to customize the strips of a ggplot2 plots when using faceting. For other ggplot2 customization, visit the dedicated page.
Here we want to modify non-data components, which is often done trough the theme() command. This page is strongly inspired from the help page of ggplot2 (?theme). Also, do not hesitate to visit the very strong ggplot2 documentation for more information.
Chart 1 is a really basic plot relying on the mtcars dataset. The 3 following charts show how to customize strip background, text, and how to modify the space between sections.
library(ggplot2)
# basic chart
basic=ggplot(mtcars, aes(wt, mpg)) +
geom_point() +
facet_wrap(~ cyl)
basic# Change background
basic + theme(strip.background = element_rect(colour = "red", fill = alpha("blue",0.2) ))# Change the text
basic + theme(strip.text.x = element_text(colour = "red", face = "bold", size=10, angle=30))# Change the space between parts:
basic + theme(panel.spacing = unit(4, "lines"))This section shows how to use the gridExtra library to combine several ggplot2 charts on the same figure. Several examples are provided, illustrating several ways to split the graphing window.
Mixing multiple graphs on the same page is a common practice. It allows to summarize a lot of information on the same figure, and is for instance widely used for scientific publication.
The gridExtra package makes it a breeze. It offers the grid.arrange() function that does exactly that. Its nrow argument allows to specify how to arrange the layout.
For more complex layout, the arrangeGrob() functions allows to do some nesting. Here are 4 examples to illustrate how gridExtra works:
# libraries
library(ggplot2)
library(gridExtra)
# Make 3 simple graphics:
g1 <- ggplot(mtcars, aes(x=qsec)) + geom_density(fill="slateblue")
g2 <- ggplot(mtcars, aes(x=drat, y=qsec, color=cyl)) + geom_point(size=5) + theme(legend.position="none")
g3 <- ggplot(mtcars, aes(x=factor(cyl), y=qsec, fill=cyl)) + geom_boxplot() + theme(legend.position="none")
g4 <- ggplot(mtcars , aes(x=factor(cyl), fill=factor(cyl))) + geom_bar()# Plots
grid.arrange(g2, arrangeGrob(g3, g4, ncol=2), nrow = 2)grid.arrange(g1, g2, g3, nrow = 3)grid.arrange(g2, arrangeGrob(g3, g4, ncol=2), nrow = 1)grid.arrange(g2, arrangeGrob(g3, g4, nrow=2), nrow = 1)Each section of the gallery provides several examples implemented with ggplot2. Here is an overview of my favorite examples:
It can be handy to include a boxplot in the violin plot to see both the distribution of the data and its summary statistics. Moreover, adding sample size of each group on the X axis is often a necessary step. Here is how to do it with R and ggplot2.
Building a violin plot with ggplot2 is pretty straightforward thanks to the dedicated geom_violin() function. It is possible to use geom_boxplot() with a small width in addition to display a boxplot that provides summary statistics.
Moreover, note a small trick that allows to provide sample size of each group on the X axis: a new column called myaxis is created and is then used for the X axis.
# Libraries
library(ggplot2)
library(dplyr)
library(hrbrthemes)
library(viridis)
# create a dataset
data <- data.frame(
name=c( rep("A",500), rep("B",500), rep("B",500), rep("C",20), rep('D', 100) ),
value=c( rnorm(500, 10, 5), rnorm(500, 13, 1), rnorm(500, 18, 1), rnorm(20, 25, 4), rnorm(100, 12, 1) )
)
# sample size
sample_size = data %>% group_by(name) %>% summarize(num=n())
# Plot
data %>%
left_join(sample_size) %>%
mutate(myaxis = paste0(name, "\n", "n=", num)) %>%
ggplot( aes(x=myaxis, y=value, fill=name)) +
geom_violin(width=1.4) +
geom_boxplot(width=0.1, color="grey", alpha=0.2) +
scale_fill_viridis(discrete = TRUE) +
theme_ipsum() +
theme(
legend.position="none",
plot.title = element_text(size=11)
) +
ggtitle("A Violin wrapping a boxplot") +
xlab("")A boxplot summarizes the distribution of a continuous variable. it is often criticized for hiding the underlying distribution of each group. Thus, showing individual observation using jitter on top of boxes is a good practice. This post explains how to do so using ggplot2.
If you're not convinced about that danger of using basic boxplot, please read this post that explains it in depth.
Fortunately, ggplot2 makes it a breeze to add invdividual observation on top of boxes thanks to the geom_jitter() function. This function shifts all dots by a random value ranging from 0 to size, avoiding overlaps.
Now, do you see the bimodal distribution hidden behind group B?
# Libraries
library(tidyverse)
library(hrbrthemes)
library(viridis)
# create a dataset
data <- data.frame(
name=c( rep("A",500), rep("B",500), rep("B",500), rep("C",20), rep('D', 100) ),
value=c( rnorm(500, 10, 5), rnorm(500, 13, 1), rnorm(500, 18, 1), rnorm(20, 25, 4), rnorm(100, 12, 1) )
)
# Plot
data %>%
ggplot( aes(x=name, y=value, fill=name)) +
geom_boxplot() +
scale_fill_viridis(discrete = TRUE, alpha=0.6) +
geom_jitter(color="black", size=0.4, alpha=0.9) +
theme_ipsum() +
theme(
legend.position="none",
plot.title = element_text(size=11)
) +
ggtitle("A boxplot with jitter") +
xlab("")In case you're not convinced, here is how the basic boxplot and the basic violin plot look like:
# Boxplot basic
data %>%
ggplot( aes(x=name, y=value, fill=name)) +
geom_boxplot() +
scale_fill_viridis(discrete = TRUE, alpha=0.6, option="A") +
theme_ipsum() +
theme(
legend.position="none",
plot.title = element_text(size=11)
) +
ggtitle("Basic boxplot") +
xlab("")# Violin basic
data %>%
ggplot( aes(x=name, y=value, fill=name)) +
geom_violin() +
scale_fill_viridis(discrete = TRUE, alpha=0.6, option="A") +
theme_ipsum() +
theme(
legend.position="none",
plot.title = element_text(size=11)
) +
ggtitle("Violin chart") +
xlab("")ggplot2 allows to easily map a variable to marker features of a scatterplot. This post explaines how it works through several examples, with explanation and code.
Here is the magick of ggplot2: the ability to map a variable to marker features. Here, the marker color depends on its value in the field called Species in the input data frame.
Note that the legend is built automatically.
# load ggplot2
library(ggplot2)
library(hrbrthemes)
# mtcars dataset is natively available in R
# head(mtcars)
# A basic scatterplot with color depending on Species
ggplot(iris, aes(x=Sepal.Length, y=Sepal.Width, color=Species)) +
geom_point(size=6) +
theme_ipsum()You can map variables to any marker features. For instance, specie is represent below using transparency (left), shape (middle) and size (right).
# load ggplot2
library(ggplot2)
library(hrbrthemes)
# Transparency
ggplot(iris, aes(x=Sepal.Length, y=Sepal.Width, alpha=Species)) +
geom_point(size=6, color="#69b3a2") +
theme_ipsum()# Shape
ggplot(iris, aes(x=Sepal.Length, y=Sepal.Width, shape=Species)) +
geom_point(size=6) +
theme_ipsum()# Size
ggplot(iris, aes(x=Sepal.Length, y=Sepal.Width, shape=Species)) +
geom_point(size=6) +
theme_ipsum()Last but not least, note that you can map one or several variables to one or several features. Here, shape, transparency, size and color all depends on the marker Species value.
# load ggplot2
library(ggplot2)
library(hrbrthemes)
# A basic scatterplot with color depending on Species
ggplot(iris, aes(x=Sepal.Length, y=Sepal.Width, shape=Species, alpha=Species, size=Species, color=Species)) +
geom_point() +
theme_ipsum()This section explains how to build a bubble chart with R and ggplot2. It provides several reproducible examples with explanation and R code.
A bubble plot is a scatterplot where a third dimension is added: the value of an additional numeric variable is represented through the size of the dots. (source: data-to-viz).
With ggplot2, bubble chart are built thanks to the geom_point() function. At least three variable must be provided to aes(): x, y and size. The legend will automatically be built by ggplot2.
Here, the relationship between life expectancy (y) and gdp per capita (x) of world countries is represented. The population of each country is represented through circle size.
# Libraries
library(ggplot2)
library(dplyr)
# The dataset is provided in the gapminder library
library(gapminder)
data <- gapminder %>% filter(year=="2007") %>% dplyr::select(-year)
# Most basic bubble plot
ggplot(data, aes(x=gdpPercap, y=lifeExp, size = pop)) +
geom_point(alpha=0.7)The first thing we need to improve on the previous chart is the bubble size. scale_size() allows to set the size of the smallest and the biggest circles using the range argument. Note that you can customize the legend name with name.
Note: Circles often overlap. To avoid having big circles on top of the chart you have to reorder your dataset first, as in the code below.
ToDo: Give more details about how to map a numeric variable to circle size. Use of scale_radius, scale_size and scale_size_area. See this post.
# Libraries
library(ggplot2)
library(dplyr)
# The dataset is provided in the gapminder library
library(gapminder)
data <- gapminder %>% filter(year=="2007") %>% dplyr::select(-year)
# Most basic bubble plot
data %>%
arrange(desc(pop)) %>%
mutate(country = factor(country, country)) %>%
ggplot(aes(x=gdpPercap, y=lifeExp, size = pop)) +
geom_point(alpha=0.5) +
scale_size(range = c(.1, 24), name="Population (M)")If you have one more variable in your dataset, why not showing it using circle color? Here, the continent of each country is used to control circle color:
# Libraries
library(ggplot2)
library(dplyr)
# The dataset is provided in the gapminder library
library(gapminder)
data <- gapminder %>% filter(year=="2007") %>% dplyr::select(-year)
# Most basic bubble plot
data %>%
arrange(desc(pop)) %>%
mutate(country = factor(country, country)) %>%
ggplot(aes(x=gdpPercap, y=lifeExp, size=pop, color=continent)) +
geom_point(alpha=0.5) +
scale_size(range = c(.1, 24), name="Population (M)")A few classic improvement:
- Use of the
viridispackage for nice color palette. - Use of
theme_ipsum()of thehrbrthemespackage. - Custom axis titles with
xlabandylab. - Add stroke to circle: Change
shapeto 21 and specifycolor(stroke) andfill.
# Libraries
library(ggplot2)
library(dplyr)
library(hrbrthemes)
library(viridis)
# The dataset is provided in the gapminder library
library(gapminder)
data <- gapminder %>% filter(year=="2007") %>% dplyr::select(-year)
# Most basic bubble plot
data %>%
arrange(desc(pop)) %>%
mutate(country = factor(country, country)) %>%
ggplot(aes(x=gdpPercap, y=lifeExp, size=pop, fill=continent)) +
geom_point(alpha=0.5, shape=21, color="black") +
scale_size(range = c(.1, 24), name="Population (M)") +
scale_fill_viridis(discrete=TRUE, guide=FALSE, option="A") +
theme_ipsum() +
theme(legend.position="bottom") +
ylab("Life Expectancy") +
xlab("Gdp per Capita") +
theme(legend.position = "none")This section explains how to build a basic connected scatterplot with R and ggplot2. It provides several reproducible examples with explanation and R code.
A connected scatterplot is basically a hybrid between a scatterplot and a line plot. Thus, you just have to add a geom_point() on top of the geom_line() to build it.
# Libraries
library(ggplot2)
library(dplyr)
# Load dataset from github
data <- read.table("https://raw.githubusercontent.com/holtzy/data_to_viz/master/Example_dataset/3_TwoNumOrdered.csv", header=T)
data$date <- as.Date(data$date)
# Plot
data %>%
tail(10) %>%
ggplot( aes(x=date, y=value)) +
geom_line() +
geom_point()Custom the general theme with the theme_ipsum() function of the hrbrthemes package. Add a title with ggtitle(). Custom circle and line with arguments like shape, size, color and more.
# Libraries
library(ggplot2)
library(dplyr)
library(hrbrthemes)
# Load dataset from github
data <- read.table("https://raw.githubusercontent.com/holtzy/data_to_viz/master/Example_dataset/3_TwoNumOrdered.csv", header=T)
data$date <- as.Date(data$date)
# Plot
data %>%
tail(10) %>%
ggplot( aes(x=date, y=value)) +
geom_line( color="grey") +
geom_point(shape=21, color="black", fill="#69b3a2", size=6) +
theme_ipsum() +
ggtitle("Evolution of bitcoin price")The connected scatterplot can also be a powerfull technique to tell a story about the evolution of 2 variables. Let's consider a dataset composed of 3 columns:
- Year
- Number of baby born called Amanda this year
- Number of baby born called Ashley
The scatterplot beside allows to understand the evolution of these 2 names. Note that the code is pretty different in this case. geom_segment() is used of geom_line(). This is because geom_line() automatically sort data points depending on their X position to link them.
# Libraries
library(ggplot2)
library(dplyr)
library(babynames)
library(ggrepel)
library(tidyr)
# data
data <- babynames %>%
filter(name %in% c("Ashley", "Amanda")) %>%
filter(sex=="F") %>%
filter(year>1970) %>%
select(year, name, n) %>%
spread(key = name, value=n, -1)
# plot
data %>%
ggplot(aes(x=Amanda, y=Ashley, label=year)) +
geom_point() +
geom_segment(aes(
xend=c(tail(Amanda, n=-1), NA),
yend=c(tail(Ashley, n=-1), NA)
)
) It makes sense to add arrows and labels to guide the reader in the chart:
# Libraries
library(ggplot2)
library(dplyr)
library(babynames)
library(ggrepel)
library(tidyr)
# data
data <- babynames %>%
filter(name %in% c("Ashley", "Amanda")) %>%
filter(sex=="F") %>%
filter(year>1970) %>%
select(year, name, n) %>%
spread(key = name, value=n, -1)
# Select a few date to label the chart
tmp_date <- data %>% sample_frac(0.3)
# plot
data %>%
ggplot(aes(x=Amanda, y=Ashley, label=year)) +
geom_point(color="#69b3a2") +
geom_text_repel(data=tmp_date) +
geom_segment(color="#69b3a2",
aes(
xend=c(tail(Amanda, n=-1), NA),
yend=c(tail(Ashley, n=-1), NA)
),
arrow=arrow(length=unit(0.3,"cm"))
) +
theme_ipsum()ggally is a ggplot2 extension. It allows to build parallel coordinates charts thanks to the ggparcoord() function. Check several reproducible examples in this post.
This is the most basic parallel coordinates chart you can build with R, the ggally packages and its ggparcoord() function.
The input dataset must be a data frame with several numeric variables, each being used as a vertical axis on the chart. Columns number of these variables are specified in the columns argument of the function.
Note: here, a categoric variable is used to color lines, as specified in the groupColumn variable.
# Libraries
library(GGally)
# Data set is provided by R natively
data <- iris
# Plot
ggparcoord(data,
columns = 1:4, groupColumn = 5
) This is pretty much the same chart as te previous one, except for the following customizations:
- Color palette is improved thanks to the
viridispackage. - Title is added with
title, and customized intheme. - Dots are added with
showPoints. - A bit of transparency is applied to lines with
alphaLines. theme_ipsum()is used for the general appearance.
# Libraries
library(hrbrthemes)
library(GGally)
library(viridis)
# Data set is provided by R natively
data <- iris
# Plot
ggparcoord(data,
columns = 1:4, groupColumn = 5, order = "anyClass",
showPoints = TRUE,
title = "Parallel Coordinate Plot for the Iris Data",
alphaLines = 0.3
) +
scale_color_viridis(discrete=TRUE) +
theme_ipsum()+
theme(
plot.title = element_text(size=10)
)Scaling transforms the raw data to a new scale that is common with other variables. It is a crucial step to compare variables that do not have the same unit, but can also help otherwise as shown in the example below.
The ggally package offers a scale argument. Four possible options are applied on the same dataset below:
globalminmax- No scaling.uniminmax- Standardize to Min = 0 and Max = 1.std- Normalize univariately (substract mean & divide by sd).center- Standardize and center variables.
ggparcoord(data,
columns = 1:4, groupColumn = 5, order = "anyClass",
scale="globalminmax",
showPoints = TRUE,
title = "No scaling",
alphaLines = 0.3
) +
scale_color_viridis(discrete=TRUE) +
theme_ipsum()+
theme(
legend.position="none",
plot.title = element_text(size=13)
) +
xlab("")ggparcoord(data,
columns = 1:4, groupColumn = 5, order = "anyClass",
scale="uniminmax",
showPoints = TRUE,
title = "Standardize to Min = 0 and Max = 1",
alphaLines = 0.3
) +
scale_color_viridis(discrete=TRUE) +
theme_ipsum()+
theme(
legend.position="none",
plot.title = element_text(size=13)
) +
xlab("")ggparcoord(data,
columns = 1:4, groupColumn = 5, order = "anyClass",
scale="std",
showPoints = TRUE,
title = "Normalize univariately (substract mean & divide by sd)",
alphaLines = 0.3
) +
scale_color_viridis(discrete=TRUE) +
theme_ipsum()+
theme(
legend.position="none",
plot.title = element_text(size=13)
) +
xlab("")ggparcoord(data,
columns = 1:4, groupColumn = 5, order = "anyClass",
scale="center",
showPoints = TRUE,
title = "Standardize and center variables",
alphaLines = 0.3
) +
scale_color_viridis(discrete=TRUE) +
theme_ipsum()+
theme(
legend.position="none",
plot.title = element_text(size=13)
) +
xlab("")Data visualization aims to highlight a story in the data. If you are interested in a specific group, you can highlight it as follow:
# Libraries
library(GGally)
library(dplyr)
# Data set is provided by R natively
data <- iris
# Plot
data %>%
arrange(desc(Species)) %>%
ggparcoord(
columns = 1:4, groupColumn = 5, order = "anyClass",
showPoints = TRUE,
title = "Original",
alphaLines = 1
) +
scale_color_manual(values=c( "#69b3a2", "#E8E8E8", "#E8E8E8") ) +
theme_ipsum()+
theme(
legend.position="Default",
plot.title = element_text(size=10)
) +
xlab("")If your lollipop plot goes on both side of an interesting threshold, you probably want to change the color of its components conditionally. Here is how using R and ggplot2.
Here is the process to use conditional color on your ggplot2 chart:
- Add a new column to your dataframe specifying if you are over or under the threshold (use an ifelse statement).
- Give this column to the color aesthetic.
# library
library(ggplot2)
library(dplyr)
# Create data (this takes more sense with a numerical X axis)
x <- seq(0, 2*pi, length.out=100)
data <- data.frame(
x=x,
y=sin(x) + rnorm(100, sd=0.2)
)
# Add a column with your condition for the color
data <- data %>%
mutate(mycolor = ifelse(y>0, "type1", "type2"))
# plot
ggplot(data, aes(x=x, y=y)) +
geom_segment( aes(x=x, xend=x, y=0, yend=y, color=mycolor), size=1.3, alpha=0.9) +
theme_light() +
theme(
legend.position = "none",
panel.border = element_blank(),
) +
xlab("") +
ylab("Value of Y")A lollipop chart can be used to compare 2 categories, linking them with a segment to stress out their difference. This post explains how to do it with R and ggplot2.
Lollipop plots can be very appropriate when it comes to compare 2 values for several entities.
For each entity, one point is drawn for each variable, with a different color. Their difference is then highlighted using a segment. This type of visualisation is also called Cleveland dot plots.
As usual, it is advised to order your individuals by mean, median, or group difference to give even more insight to the figure.
# Library
library(ggplot2)
library(dplyr)
library(hrbrthemes)
# Create data
value1 <- abs(rnorm(26))*2
data <- data.frame(
x=LETTERS[1:26],
value1=value1,
value2=value1+1+rnorm(26, sd=1)
)
# Reorder data using average? Learn more about reordering in chart #267
data <- data %>%
rowwise() %>%
mutate( mymean = mean(c(value1,value2) )) %>%
arrange(mymean) %>%
mutate(x=factor(x, x))
# Plot
ggplot(data) +
geom_segment( aes(x=x, xend=x, y=value1, yend=value2), color="grey") +
geom_point( aes(x=x, y=value1), color=rgb(0.2,0.7,0.1,0.5), size=3 ) +
geom_point( aes(x=x, y=value2), color=rgb(0.7,0.2,0.1,0.5), size=3 ) +
coord_flip()+
theme_ipsum() +
theme(
legend.position = "none",
) +
xlab("") +
ylab("Value of Y")This section explains how to build a circular barchart with groups. A gap is added between groups to highlight them. Bars are labeled, group names are annotated
A circular barplot is a barplot where bars are displayed along a circle instead of a line. This page aims to teach you how to make a circular barplot with groups.
Since this kind of chart is a bit tricky, I strongly advise to understand graph #295 and #296 that will teach you the basics.
The first step is to build a circular barplot with a break in the circle. Actually, I just added a few empty lines at the end of the initial data frame:
# library
library(tidyverse)
# Create dataset
data <- data.frame(
individual=paste( "Mister ", seq(1,60), sep=""),
value=sample( seq(10,100), 60, replace=T)
)
# Set a number of 'empty bar'
empty_bar <- 10
# Add lines to the initial dataset
to_add <- matrix(NA, empty_bar, ncol(data))
colnames(to_add) <- colnames(data)
data <- rbind(data, to_add)
data$id <- seq(1, nrow(data))
# Get the name and the y position of each label
label_data <- data
number_of_bar <- nrow(label_data)
angle <- 90 - 360 * (label_data$id-0.5) /number_of_bar # I substract 0.5 because the letter must have the angle of the center of the bars. Not extreme right(1) or extreme left (0)
label_data$hjust <- ifelse( angle < -90, 1, 0)
label_data$angle <- ifelse(angle < -90, angle+180, angle)
# Make the plot
p <- ggplot(data, aes(x=as.factor(id), y=value)) + # Note that id is a factor. If x is numeric, there is some space between the first bar
geom_bar(stat="identity", fill=alpha("green", 0.3)) +
ylim(-100,120) +
theme_minimal() +
theme(
axis.text = element_blank(),
axis.title = element_blank(),
panel.grid = element_blank(),
plot.margin = unit(rep(-1,4), "cm")
) +
coord_polar(start = 0) +
geom_text(data=label_data, aes(x=id, y=value+10, label=individual, hjust=hjust), color="black", fontface="bold",alpha=0.6, size=2.5, angle= label_data$angle, inherit.aes = FALSE )
pThis concept can now be used to add space between each group of the dataset. I add n lines with only NA at the bottom of each group.
This chart is far more insightful since it allows one to quickly compare the different groups, and to compare the value of items within each group.
# library
library(tidyverse)
# Create dataset
data <- data.frame(
individual=paste( "Mister ", seq(1,60), sep=""),
group=c( rep('A', 10), rep('B', 30), rep('C', 14), rep('D', 6)) ,
value=sample( seq(10,100), 60, replace=T)
)
# Set a number of 'empty bar' to add at the end of each group
empty_bar <- 4
to_add <- data.frame( matrix(NA, empty_bar*nlevels(data$group), ncol(data)) )
colnames(to_add) <- colnames(data)
to_add$group <- rep(levels(data$group), each=empty_bar)
data <- rbind(data, to_add)
data <- data %>% arrange(group)
data$id <- seq(1, nrow(data))
# Get the name and the y position of each label
label_data <- data
number_of_bar <- nrow(label_data)
angle <- 90 - 360 * (label_data$id-0.5) /number_of_bar # I substract 0.5 because the letter must have the angle of the center of the bars. Not extreme right(1) or extreme left (0)
label_data$hjust <- ifelse( angle < -90, 1, 0)
label_data$angle <- ifelse(angle < -90, angle+180, angle)
# Make the plot
p <- ggplot(data, aes(x=as.factor(id), y=value, fill=group)) + # Note that id is a factor. If x is numeric, there is some space between the first bar
geom_bar(stat="identity", alpha=0.5) +
ylim(-100,120) +
theme_minimal() +
theme(
legend.position = "none",
axis.text = element_blank(),
axis.title = element_blank(),
panel.grid = element_blank(),
plot.margin = unit(rep(-1,4), "cm")
) +
coord_polar() +
geom_text(data=label_data, aes(x=id, y=value+10, label=individual, hjust=hjust), color="black", fontface="bold",alpha=0.6, size=2.5, angle= label_data$angle, inherit.aes = FALSE )
pHere observations are sorted by bar height within each group. It can be useful if your goal is to understand what are the highest / lowest observations within and across groups.
The method used to order groups in ggplot2 is extensively described in this dedicated page. Basically, you just have to add the following piece of code right after the data frame creation:
# Order data:
data = data %>% arrange(group, value)Last but not least, it is highly advisable to add some customisation to your chart. Here we add group names (A, B, C and D), and we add a scale to help compare the sizes of the bars. Voila! The code is a bit long, but the result is quite worth it in my opinion!
# library
library(tidyverse)
# Create dataset
data <- data.frame(
individual=paste( "Mister ", seq(1,60), sep=""),
group=c( rep('A', 10), rep('B', 30), rep('C', 14), rep('D', 6)) ,
value=sample( seq(10,100), 60, replace=T)
)
# Set a number of 'empty bar' to add at the end of each group
empty_bar <- 3
to_add <- data.frame( matrix(NA, empty_bar*nlevels(data$group), ncol(data)) )
colnames(to_add) <- colnames(data)
to_add$group <- rep(levels(data$group), each=empty_bar)
data <- rbind(data, to_add)
data <- data %>% arrange(group)
data$id <- seq(1, nrow(data))
# Get the name and the y position of each label
label_data <- data
number_of_bar <- nrow(label_data)
angle <- 90 - 360 * (label_data$id-0.5) /number_of_bar # I substract 0.5 because the letter must have the angle of the center of the bars. Not extreme right(1) or extreme left (0)
label_data$hjust <- ifelse( angle < -90, 1, 0)
label_data$angle <- ifelse(angle < -90, angle+180, angle)
# prepare a data frame for base lines
base_data <- data %>%
group_by(group) %>%
summarize(start=min(id), end=max(id) - empty_bar) %>%
rowwise() %>%
mutate(title=mean(c(start, end)))
# prepare a data frame for grid (scales)
grid_data <- base_data
grid_data$end <- grid_data$end[ c( nrow(grid_data), 1:nrow(grid_data)-1)] + 1
grid_data$start <- grid_data$start - 1
grid_data <- grid_data[-1,]
# Make the plot
p <- ggplot(data, aes(x=as.factor(id), y=value, fill=group)) + # Note that id is a factor. If x is numeric, there is some space between the first bar
geom_bar(aes(x=as.factor(id), y=value, fill=group), stat="identity", alpha=0.5) +
# Add a val=100/75/50/25 lines. I do it at the beginning to make sur barplots are OVER it.
geom_segment(data=grid_data, aes(x = end, y = 80, xend = start, yend = 80), colour = "grey", alpha=1, size=0.3 , inherit.aes = FALSE ) +
geom_segment(data=grid_data, aes(x = end, y = 60, xend = start, yend = 60), colour = "grey", alpha=1, size=0.3 , inherit.aes = FALSE ) +
geom_segment(data=grid_data, aes(x = end, y = 40, xend = start, yend = 40), colour = "grey", alpha=1, size=0.3 , inherit.aes = FALSE ) +
geom_segment(data=grid_data, aes(x = end, y = 20, xend = start, yend = 20), colour = "grey", alpha=1, size=0.3 , inherit.aes = FALSE ) +
# Add text showing the value of each 100/75/50/25 lines
annotate("text", x = rep(max(data$id),4), y = c(20, 40, 60, 80), label = c("20", "40", "60", "80") , color="grey", size=3 , angle=0, fontface="bold", hjust=1) +
geom_bar(aes(x=as.factor(id), y=value, fill=group), stat="identity", alpha=0.5) +
ylim(-100,120) +
theme_minimal() +
theme(
legend.position = "none",
axis.text = element_blank(),
axis.title = element_blank(),
panel.grid = element_blank(),
plot.margin = unit(rep(-1,4), "cm")
) +
coord_polar() +
geom_text(data=label_data, aes(x=id, y=value+10, label=individual, hjust=hjust), color="black", fontface="bold",alpha=0.6, size=2.5, angle= label_data$angle, inherit.aes = FALSE ) +
# Add base line information
geom_segment(data=base_data, aes(x = start, y = -5, xend = end, yend = -5), colour = "black", alpha=0.8, size=0.6 , inherit.aes = FALSE ) +
geom_text(data=base_data, aes(x = title, y = -18, label=group), hjust=c(1,1,0,0), colour = "black", alpha=0.8, size=4, fontface="bold", inherit.aes = FALSE)
pImportant note: this section is inspired from this post by Dr. Drang.
Dr Drang gives this nice example. Consider the graphic below, and try to visualize how the 3 categories evolved on the period:
# create dummy data
don <- data.frame(
x = rep(seq(2000,2005), 3),
value = c( 75, 73, 68, 57, 36, 0, 15, 16, 17, 18, 19, 20, 10, 11, 15, 25, 45, 80),
group = rep(c("A", "B", "C"), each=6)
)
#plot
don %>%
ggplot( aes(x=x, y=value, fill=group)) +
geom_area( ) +
scale_fill_viridis(discrete = TRUE) +
theme(legend.position="none") +
theme_ipsum() +
theme(legend.position="none")It looks obvious that the yellow category increased, the purple decreased, and the green. is harder to read. At a first glance it looks like it is slightly decreasing I would say.
Now let's plot just the green group to find out:
#plot
don %>%
filter(group=="B") %>%
ggplot( aes(x=x, y=value, fill=group)) +
geom_area( fill="#22908C") +
theme(legend.position="none") +
theme_ipsum() +
theme(legend.position="none")If you have just a few categories, I would suggest to build a line chart. Here it is easy to follow a category and understand how it evolved accurately.
data %>%
ggplot( aes(x=year, y=n, group=name, color=name)) +
geom_line() +
scale_color_viridis(discrete = TRUE) +
theme(legend.position="none") +
ggtitle("Popularity of American names in the previous 30 years") +
theme_ipsum()However, this solution is not suitable if you have many categories. Indeed, it would result in a spaghetti chart that is very hard to read. You can read more about this here.
Instead I would suggest to use `small multiple: here each category has its own section in the graphic. It makes easy to understand the pattern of each category.
data %>%
ggplot( aes(x=year, y=n, group=name, fill=name)) +
geom_area() +
scale_fill_viridis(discrete = TRUE) +
theme(legend.position="none") +
ggtitle("Popularity of American names in the previous 30 years") +
theme_ipsum() +
theme(
legend.position="none",
panel.spacing = unit(0.1, "lines"),
strip.text.x = element_text(size = 8)
) +
facet_wrap(~name, scale="free_y")This section provides the basics concerning stacked area chart with R and ggplot2. It takes into account several input format types and show how to customize the output.
The data frame used as input to build a stacked area chart requires 3 columns:
x: numeric variable used for the X axis, often it is a time.y: numeric variable used for the Y axis. What are we looking at?group: one shape will be done per group.
The chart is built using the geom_area() function.
# Packages
library(ggplot2)
library(dplyr)
# create data
time <- as.numeric(rep(seq(1,7),each=7)) # x Axis
value <- runif(49, 10, 100) # y Axis
group <- rep(LETTERS[1:7],times=7) # group, one shape per group
data <- data.frame(time, value, group)
# stacked area chart
ggplot(data, aes(x=time, y=value, fill=group)) +
geom_area()The gallery offers a post dedicated to reordering with ggplot2. This step can be tricky but the code below shows how to:
- Give a specific order with the
factor()function. - Order alphabetically using
sort(). - Order following values at a specific data.
# Give a specific order:
data$group <- factor(data$group , levels=c("B", "A", "D", "E", "G", "F", "C") )
# Plot again
ggplot(data, aes(x=time, y=value, fill=group)) +
geom_area()
# Note: you can also sort levels alphabetically:
myLevels <- levels(data$group)
data$group <- factor(data$group , levels=sort(myLevels) )
# Note: sort followinig values at time = 5
myLevels <- data %>%
filter(time==6) %>%
arrange(value)
data$group <- factor(data$group , levels=myLevels$group )In a proportional stacked area graph, the sum of each year is always equal to hundred and value of each group is represented through percentages.
To make it, you have to calculate these percentages first. This can be done using dplyr of with base R.
# Compute percentages with dplyr
library(dplyr)
data <- data %>%
group_by(time, group) %>%
summarise(n = sum(value)) %>%
mutate(percentage = n / sum(n))
# Plot
ggplot(data, aes(x=time, y=percentage, fill=group)) +
geom_area(alpha=0.6 , size=1, colour="black")
# Note: compute percentages without dplyr:
my_fun <- function(vec){
as.numeric(vec[2]) / sum(data$value[data$time==vec[1]]) *100
}
data$percentage <- apply(data , 1 , my_fun)Let's improve the chart general appearance:
- Usage of the
viridiscolor scale. theme_ipsumof thehrbrthemespackage.- Add title with
ggtitle.
# Library
library(viridis)
library(hrbrthemes)
# Plot
ggplot(data, aes(x=time, y=value, fill=group)) +
geom_area(alpha=0.6 , size=.5, colour="white") +
scale_fill_viridis(discrete = T) +
theme_ipsum() +
ggtitle("The race between ...")


















































































































